Mathaversity Tutors

Polar Coordinates in AP Calculus BC: Graphs, Area & Arc Length

Introduction

By describing points using a radius and an angle rather than horizontal and vertical distances, polar coordinates expand on the Cartesian coordinate system.

A point in polar form is written as: (r, \theta)

Polar coordinates are utilized in AP Calculus BC for arc length, area calculations, and derivatives.

Polar Coordinates in AP Calculus BC

Polar coordinate

A two-dimensional coordinate system is referred to as the polar coordinate system when each point on a plane is determined by a distance from a reference point and an angle is taken from a reference direction.
Pole: The point of reference
The line segment ray from the pole in the reference direction is known as the polar axis.
The origin is referred to as a pole in the polar coordinate system.
polar coordinate

Polar CoordinatesPolar Coordinates

Polar to Cartesian

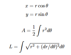
x = r\cos\theta
y = r\sin\theta

Cartesian to Polar

r = \sqrt{x^2 + y^2}
\tan\theta = \frac{y}{x}
Quadrant analysis is essential when determining \theta

Graphing Polar Equations

Example 1: Circle r = 3

Circle
This represents a circle centered at the origin with radius 3.

Example 2: Cardioid r = 2 + 2\cos\theta

Cardioid
This is a cardioid (a special type of limacon).

Example 3: Rose Curve r = 3\sin(2\theta)

Rose Curve
Since n=2 is even, this rose has 2n = 4 petals.

Derivative in Polar Coordinates

Given: x = r\cos\theta, \quad y = r\sin\theta
Using the chain rule:
\dfrac{dy}{dx} = \dfrac{\dfrac{dy}{d\theta}} {\dfrac{dx}{d\theta}}
After differentiation:
\dfrac{dy}{dx} = \dfrac{ \dfrac{dr}{d\theta}\sin\theta + r\cos\theta } { \dfrac{dr}{d\theta}\cos\theta - r\sin\theta }
This formula is frequently tested in AP Calculus BC.

Arc Length in Polar Coordinates

L = \int_a^b \sqrt{r^2 + \left(\dfrac{dr}{d\theta}\right)^2} \, d\theta
This is derived from the parametric arc length formula.

Symmetry in Polar Graphs

Before graphing, always test for symmetry.

Symmetry Tests

1. Polar Axis Symmetry: Replace \theta with -\theta. If equation unchanged → symmetric about polar axis.
2. Line \theta = \frac{\pi}{2} Symmetry: Replace \theta with \pi - \theta.
3. Origin Symmetry: Replace r with -r OR replace \theta with \theta + \pi.

Horizontal and Vertical Tangent Lines

Given: \dfrac{dy}{dx} = \dfrac{ \dfrac{dr}{d\theta}\sin\theta + r\cos\theta } { \dfrac{dr}{d\theta}\cos\theta - r\sin\theta }

Horizontal Tangent

Occurs when numerator = 0 and denominator \neq 0.
\dfrac{dr}{d\theta}\sin\theta + r\cos\theta = 0

Vertical Tangent

Occurs when denominator = 0 and numerator \neq 0.
\dfrac{dr}{d\theta}\cos\theta - r\sin\theta = 0
These conditions frequently appear in free-response questions.

Area Between Two Polar Curves

If two curves are: r_1(\theta) \quad \text{and} \quad r_2(\theta)
Area between them from \theta=a to \theta=b
A = \dfrac{1}{2} \int_a^b \left( r_2^2 - r_1^2 \right) d\theta

Worked Example: Area of a Cardioid

Find the area enclosed by: \r = 2 + 2\cos\theta.
Solution:
Since the curve is symmetric about the polar axis:
A = \dfrac{1}{2} \int_0^{2\pi} (2+2\cos\theta)^2 d\theta
Expand:
(2+2\cos\theta)^2 = 4(1 + \cos\theta)^2
Using identity:
\cos^2\theta = \frac{1+\cos2\theta}{2}
After simplifying and integrating:
A = 6\pi

Improper Polar Integrals

Some polar curves extend infinitely.
Example: r = \dfrac{1}{\theta}. If \theta \to 0^+, r \to \infty.
Area may require evaluating:
A = \dfrac{1}{2} \int_a^b \frac{1}{\theta^2} d\theta
Improper integrals in polar form follow the same limit rules as standard integrals.

Arc Length Example

Find arc length of: r = 2\theta \quad \text{from} \quad 0 \le \theta \le \pi
Solution:
\dfrac{dr}{d\theta} = 2
L = \int_0^\pi \sqrt{(2\theta)^2 + 2^2} \, d\theta
L = \int_0^\pi \sqrt{4\theta^2 + 4} \, d\theta
Factor:
= 2 \int_0^\pi \sqrt{\theta^2 + 1} \, d\theta
This requires substitution or hyperbolic methods.

Common AP Mistakes

Conceptual Depth: Why Polar Is Powerful

Many complex Cartesian equations become simple trigonometric forms in polar representation.

AP Exam Strategy Tips

Formula Summary

Formula Summary

Conclusion

By using radial distance and angular displacement to represent curves, polar coordinates offer a potent substitute for the Cartesian coordinate system. This framework enables students to precisely evaluate arc length, calculate enclosed areas, identify tangent slopes, and analyze rotational symmetry in AP Calculus BC.
Students gain greater computational fluency and a deeper understanding of geometry by mastering conversion formulas, symmetry analysis, derivative techniques, and integral applications. One of the most elegant and conceptually rich topics in advanced calculus is polar coordinates, which combine trigonometry and calculus into a single analytical structure.
Confidence on the multiple-choice and free-response portions of the AP Calculus BC exam is ensured by regular practice with graph sketching, integration limits, and derivative interpretation.
Mathaversity is ready to help you get the highest grades if you need professional, targeted help to fill in the last gaps in your knowledge.